Default Color Tables
一覧
LOADCT等で使える #0~#74 のカラー番号の一覧。#41~#74 は ColorBrewer Schemes をRGB色空間で線形補間したもので、IDL 8.2.1 で追加された。

Default Color Tables の詳細
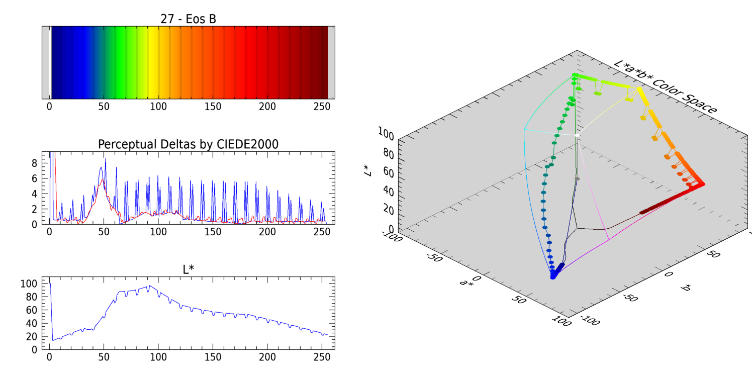
Perceptual Deltas is calculated by CIEDE2000. Blue line: ΔE(Colori-0.5, Colori+0.5), Red line: ΔE(Colori-4, Colori+4)/8
L* is perceptual lightness in the CIELAB color space.
The IDL color profile is asssumed to be sRGB.
- 0 - B-W LINEAR

- 1 - BLUE/WHITE

- 2 - GRN-RED-BLU-WHT

- 3 - RED TEMPERATURE

- 4 - BLUE/GREEN/RED/YELLOW

- 5 - STD GAMMA-II

- 6 - PRISM

- 7 - RED-PURPLE

- 8 - GREEN/WHITE LINEAR

- 9 - GRN/WHT EXPONENTIAL

- 10 - GREEN-PINK

- 11 - BLUE-RED

- 12 - 16 LEVEL

- 13 - RAINBOW

- 14 - STEPS

- 15 - STERN SPECIAL

- 16 - Haze

- 17 - Blue - Pastel - Red

- 18 - Pastels

- 19 - Hue Sat Lightness 1

- 20 - Hue Sat Lightness 2

- 21 - Hue Sat Value 1

- 22 - Hue Sat Value 2

- 23 - Purple-Red + Stripes

- 24 - Beach

- 25 - Mac Style

- 26 - Eos A

- 27 - Eos B

- 28 - Hardcandy

- 29 - Nature

- 30 - Ocean

- 31 - Peppermint

- 32 - Plasma

- 33 - Blue-Red

- 34 - Rainbow

- 35 - Blue Waves

- 36 - Volcano

- 37 - Waves

- 38 - Rainbow18

- 39 - Rainbow + white

- 40 - Rainbow + black

- 41 - CB-Accent

- 42 - CB-Dark2

- 43 - CB-Paired

- 44 - CB-Pastel1

- 45 - CB-Pastel2

- 46 - CB-Set1

- 47 - CB-Set2

- 48 - CB-Set3

- 49 - CB-Blues

- 50 - CB-BuGn

- 51 - CB-BuPu

- 52 - CB-GnBu

- 53 - CB-Greens

- 54 - CB-Greys

- 55 - CB-Oranges

- 56 - CB-OrRd

- 57 - CB-PuBu

- 58 - CB-PuBuGn

- 59 - CB-PuRd

- 60 - CB-Purples

- 61 - CB-RdPu

- 62 - CB-Reds

- 63 - CB-YlGn

- 64 - CB-YlGnBu

- 65 - CB-YlOrBr

- 66 - CB-BrBG

- 67 - CB-PiYG

- 68 - CB-PRGn

- 69 - CB-PuOr

- 70 - CB-RdBu

- 71 - CB-RdGy

- 72 - CB-RdYlBu

- 73 - CB-RdYlGn

- 74 - CB-Spectral

参考: いろいろなカラーテーブル
近年、知覚的に一様な階調(perceptual deltasがほぼ一定)、モノクロに変換しても明瞭(perceptual lightness L*が単調に変化する)、色覚異常への配慮などの特徴を持つ新しいカラーテーブルが提案されている。
以下に、このようなカラーテーブルの例を挙げる。これらのカラーテーブルは matplotlib でサポートされている (matplotlibのカラーマップをIDLで使う方法)。
西田圭佑 (NISHIDA Keisuke)
nishida at kwasan.kyoto-u.ac.jp